eCircuit  Center 
Error Budget Analysis

About SPICE | SPICE Basics | Running SPICE | CIRCUIT COLLECTION
SPICE Commands | SPICE Downloads | About | Contact | Home

Differential Amp - Part 1

Offset Errors:  voff, ib, iboff
Gain Errors:  R1, R2, R3, R4


pic

 

The differential amplifier may appear only incrementially more complex than the basic op amp circuits. However, you'll discover the error analysis grows significantly more challenging. Part 1 breaks down the following errors into manageable concepts and steps.

Part 2 tackles the Common-Mode Offset Errors (coming soon) due to U1 (vcmr) and resistors (R1-R4).


We'll perform an analysis for each error. You'll get

 

For tutorials on Key Concepts and other circuits, goto EBA Series

 

OFFSET AND GAIN ERRORS

We'll start with basic error definitions of an amplifier block. What are Offset and Gain Errors?

pic

 

MAX ERROR BUDGET

The max budget (target spec) for amplifier has been chosen as:

AMPLIFIER

Schematic with Error Sources

Here's a color map of the Offset and Gain Errors. Note how resistors R1-R4 contribute to both!

pic

Error Sources

Description Initial Drift
OFFSET ERRORS    
voff, Input Offset Voltage
ib, Input Bias Current
iboff, Input Offset Current
0.1 mV
5 nA
5 nA
10 uV / C
1 nA / C
1 nA / C
GAIN ERRORS    
R1, Resistor Tolerance
R2, Resistor Tolerance
R3, Resistor Tolerance
R4, Resistor Tolerance
0.1 %
0.1 %
0.1 %
0.1 %
25 ppm / C
25 ppm / C
25 ppm / C
25 ppm / C

 

Conditions and Assumptions

Temperature

Amplifier

Errors

 

OFFSET ERRORS

While the steps may seem more detailed than needed for simpler errors, the value of creating a systematic approach will pay off when analyzing more complex, multi-stage designs.

 

INPUT OFFSET VOLTAGE

Because voff is modelled as voltage in series with the pos input, it gets amplified by the non-invertng gain.

Description Initial Errors Drift Errors
Error Source: e voff = 0.1mV voff_TC = 10uV/C
Pick Analysis Node: Va vo vo
Calc Sensitivity: S
How does e impact Va?
S = vo / voff
  = R2/R1+1
  = 6
S = 6
Calc Offset Error at Analysis Node
  Initial:  Voffset = e * S
  Drift:   Voffset = e * T * S
Voffset
 = 0.1mV * 6
 = 0.6mV
Voffset
 = 10uV/C * 30C * 6
 = 1.8 mV
Calc Gain from
Input to Analysis Node:
  Ka = Va / Vin
Ka = vin/vo
 = R2/R1
 = 5
Ka = 5
Calc Error RTI
(Referred-to-Input):
  voffset_RTI = voffset / Ka
voffset_RTI
 = 0.6mV / 5
 = 0.12mV
voffset_RTI
 = 1.8mV / 5
 = 0.36mV

 

INPUT BIAS CURRENT - Theory Refresh

The current into the pos / neg inputs has two components

 ibp = ib + iboff / 2
 ibn = ib - iboff / 2

where ib is the average of two currents

  ib = (ibp + ibn) / 2

and iboff is the offset between the two currents

  iboff = ibp - ibn

The output due to both ibp and ibn can be written

  vo = ibp∙R3||R4∙(R2/R1+1) - ibn∙R2

Applying some math, we can find the Gain (Sensitivity) of vo to ib only

   S = vo/ib = R3||R4∙(R2/R1+1) - R2

Similary, we can find the Gain (Sensitivity) of vo to iboff only

   S = vo/iboff = ½ [ R3||R4∙(R2/R1+1) + R2 ]

 

INPUT BIAS CURRENT (ib)

The quick theory refresh (above) showed the Gain (Sensitivity) of vo to ib only

   S = vo/ib = R3||R4∙(R2/R1+1) - R2

Let's walk through the error analysis.

Description Initial Errors Drift Errors
Error Source: e ib = 5nA ib_TC = 1nA/C
Pick Analysis Node: Va vo vo
Calc Sensitivity: S
How does e impact Va?
S = vo / ib
 = Rs*(R2/R1+1)-R2
 = -450k
S = -450k
Calc Offset Error at Analysis Node
  Initial:  Voffset = e * S
  Drift:   Voffset = e * T * S
Voffset
 = 5nA * -450k
 = -2.25mV
Voffset
 = 1nA/C*30C*-450k
 = -13.5mV
Calc Gain from
Input to Analysis Node:
  Ka = Va / Vin
Ka = vin/vo
     = R2/R1
     = 5
 
Ka = 5
Calc Error RTI
(Referred-to-Input):
  voffset_RTI = voffset / Ka
voffset_RTI
 = -2.25mV / 5
 = -0.45mV
voffset_RTI
 = -13.5mV / 5
 = -2.7mV

 

INPUT OFFSET CURRENT (iboff)

The quick theory refresh (above) showed the Gain (Sensitivity) of vo to iboff only

  S = vo/iboff = ½ [ R3||R4 ∙ (R2/R1+1) + R2 ]

Let's walk through the error analysis.

Description Initial Errors Drift Errors
Error Source: e iboff = 5nA ibp_TC = 1nA/C
Pick Analysis Node: Va vo vo
Calc Sensitivity: S
How does e impact Va?
S = vo / ib
= ½ [R3||R4*(R2/R1+1)
   +R2]
= 550k
S = 550k
Calc Offset Error at Analysis Node
  Initial:  Voffset = e * S
  Drift:   Voffset = e * T * S
Voffset
 = 5nA * 550k
 = 2.75mV
Voffset
 = 1nA/C*30C*550k
 = 16.5mV
Calc Gain from
Input to Analysis Node:
  Ka = Va / Vin
Ka = vin/vo
     = R2/R1
     = 5
 
Ka = 5
Calc Error RTI
(Referred-to-Input):
  voffset_RTI = voffset / Ka
voffset_RTI
 = 2.75mV / 5
 = 0.55mV
voffset_RTI
 = 16.5mV / 5
 = 3.30mV

 

GAIN ERRORS

Gain errors often require more effort when calculating the Sensitivity S. You need to write the gain equation and then apply calculus (Difference Method) to find S.

GAIN RESISTORS R1-R4 - Theory Refresh

With 4 resistor and two gain paths, the differential amplifier presents an analysis challenge.

pic

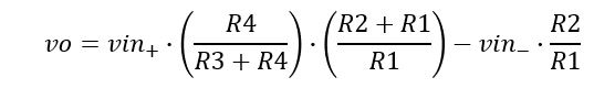
What is the gain from the differential inputs to vo? By setting vcm = 0V, you can write the output as

pic

Assuming a bipolar input (vin+ = vin / 2, vin- = -vin /2) you can solve for the differential gain

pic

To make the calculations of Sensitivity (S) easier, let's rewrite the gain with fewer variables

pic

Also, by setting equal ratios R2/R1 = R4/R3, we get the familiar effective gain

        K = vo/vin = R2 / R1

 

RESISTOR R3

As an example, we'll walk through the gain error contributed by R3.

To calculate Sensitivity, start with the ideal gain (K)

pic

Increment R3 by a small ratio (say 1.01) to find it's impact on gain (K').

pic

Calculate the Sensitivity of K to R3.

pic

Finally calculate the actual gain error given R3's tolerance

pic

Let's jump in with some numbers

Description Initial Errors Drift Errors
Error Source: e R3_Tol
 = 0.1%
R4_TC
  = 25ppm/C
  = 25e-6/C
Pick Analysis Node: Va vo vo
Calc Sensitivity: S
How does e impact Gain K?

Apply Difference Method:
 S = (∆K/K) / (∆R/R)
where
 ∆K/K = (K'-K)/K
R1=R3=100k
R2=R4=500k

K = 5.000
K' = 4.996
∆R/R = 0.01

S = (∆K/K) / (∆R/R)
   = -0.08
S = -0.08
Calc Gain Error
at Analysis Node
  Initial:  ∆K/K = e * S
  Drift:   ∆K/K = e * ∆T * S
∆K/K
 = 0.1% * -0.08
 = -0.008%
∆K/K
 = 25e-6/C*30C*0.08
 = -0.00006
 = -0.006%
Normailzed gain errors can be referred to input as-is, no RTI calc needed.    

 

RESISTORS R1, R2, R4

For the remaining gain resistors, simply follow the basic method shown above for R3. Take each resistor, increment its value by 1.01 to find K', then calculate the Sensitivity as

   S = (∆K/K) / (∆R/R)
      = ((K'-K)/K) / 0.01

For the error results of all resistors, check out the hands-on Excel file (see link below).
  

EBA WITH EXCEL

An Excel file was created to implement the error budget analysis.

3 Worksheets

Worksheet Enter Calculate
CIRCUIT CALC Circuit values Signal gains, levels and error Sensitivities
OFFSET Offset error sources Offset errors and totals
GAIN Gain error Sources Gain errors and totals

While 3 worksheets seems over-the-top for smaller circuits, you'll find a big advantage when analyzing more complex circuits or multi-stage systems!

Check out the easy entry (BLU col) and calculations (RED col) on the Offset Error sheet.

pic

 

Explore the hands-on spreadsheet!

TRY IT!

 

3 SIGNAL TYPES - Theory Refresh

A differential amplifier can process a signal via three basic modes. What is the dominant signal paths(s) for each? Let's look at the three with typical appliations.

pic

Suppose all cases measure a differential input of vin = 100mV. Keeping the differential gain equation in mind, we'll explore the signal pahs for all three cases. (Set vcm = 0V for analysis).

pic

Note: In all three modes, we analyzed the signals with vcm = 0. However, both Pos and Neg paths are needed to reject the actual Common-Mode signal.

 

For tutorials and other examples, goto EBA Series